Rpp Pmkr Kelas Xii - Program Tahunan K13 2020 Automotive Class - Previous rpp kelas xii produk kreatif dan kewirausahaan kurikulum 2013 .

Di antaranya rpp, silabus, dan yang utama materi pembelajaran. Power point untuk pemeliharaan mesin kendaraan ringan (pmkr) kelas xii. Rpp 1 lembar pemeliharaan mesin kendaraan ringan kelas xi smk kurikulum 2013 revisi 2020 discovery learning sesuai arahan kebijakan baru dalam menyusun rpp . Teknik kendaraan ringan otomotif kelas/semester : Perakitan laptop axioo oleh peserta didik kelas industri axioo class program · pembekalan siswa prakerin.

Blog guru otomotif merupakan blog yang di peruntukan guru, siswa dan pembelajar otomotif di penjuru nusantara. Guru Berbagi Diagnosis Perbaikan Diesel Commonrail
Guru Berbagi Diagnosis Perbaikan Diesel Commonrail from s3-ap-southeast-1.amazonaws.com
Beli koleksi rpp sosiologi kelas xii kurikulum 2013 revisi 2017 online lengkap edisi & harga terbaru october 2021 di tokopedia! Power point untuk pemeliharaan mesin kendaraan ringan (pmkr) kelas xii. Perakitan laptop axioo oleh peserta didik kelas industri axioo class program · pembekalan siswa prakerin. Rangkaian elektr (xii) | penerapan rangk. Di antaranya rpp, silabus, dan yang utama materi pembelajaran. Blog guru otomotif merupakan blog yang di peruntukan guru, siswa dan pembelajar otomotif di penjuru nusantara. Teknik kendaraan ringan otomotif kelas/semester : Rpp 1 lembar pemeliharaan mesin kendaraan ringan kelas xi smk kurikulum 2013 revisi 2020 discovery learning sesuai arahan kebijakan baru dalam menyusun rpp .

Power point untuk pemeliharaan mesin kendaraan ringan (pmkr) kelas xii.

Rangkaian elektr (xii) | penerapan rangk. Blog guru otomotif merupakan blog yang di peruntukan guru, siswa dan pembelajar otomotif di penjuru nusantara. Lk 1.1 rpp pmkr kd 3.1 _ 4.1 aditya pramadhita.docx from kd 3 at indonesia. Beli koleksi rpp sosiologi kelas xii kurikulum 2013 revisi 2017 online lengkap edisi & harga terbaru october 2021 di tokopedia! 4 rpp k13 mapel pemeliharaan mesin rpp pemeliharaan mesin sepeda motor k13 kelas xii revisi ini merupakan perangkat terbaru yang akan saya bagikan dalam . Di antaranya rpp, silabus, dan yang utama materi pembelajaran. Perakitan laptop axioo oleh peserta didik kelas industri axioo class program · pembekalan siswa prakerin. Previous rpp kelas xii produk kreatif dan kewirausahaan kurikulum 2013 . Rencana pelaksanaan pembelajaran (rpp) ini digunakan pada kompetensi keahlian produktif teknik kendaraan ringan otomotif kelas xii dimana menggunakan kaidah . Teknik kendaraan ringan otomotif kelas/semester : Rpp 1 lembar pemeliharaan mesin kendaraan ringan kelas xi smk kurikulum 2013 revisi 2020 discovery learning sesuai arahan kebijakan baru dalam menyusun rpp . Power point untuk pemeliharaan mesin kendaraan ringan (pmkr) kelas xii.

Rpp 1 lembar pemeliharaan mesin kendaraan ringan kelas xi smk kurikulum 2013 revisi 2020 discovery learning sesuai arahan kebijakan baru dalam menyusun rpp . Di antaranya rpp, silabus, dan yang utama materi pembelajaran. Beli koleksi rpp sosiologi kelas xii kurikulum 2013 revisi 2017 online lengkap edisi & harga terbaru october 2021 di tokopedia! Power point untuk pemeliharaan mesin kendaraan ringan (pmkr) kelas xii. Perakitan laptop axioo oleh peserta didik kelas industri axioo class program · pembekalan siswa prakerin.

Rangkaian elektr (xii) | penerapan rangk. Modul Tkr Kelas Xi Pmkr Pdfcoffee Com
Modul Tkr Kelas Xi Pmkr Pdfcoffee Com from pdfcoffee.com
Power point untuk pemeliharaan mesin kendaraan ringan (pmkr) kelas xii. Rencana pelaksanaan pembelajaran (rpp) ini digunakan pada kompetensi keahlian produktif teknik kendaraan ringan otomotif kelas xii dimana menggunakan kaidah . Teknik kendaraan ringan otomotif kelas/semester : Di antaranya rpp, silabus, dan yang utama materi pembelajaran. Rpp 1 lembar pemeliharaan mesin kendaraan ringan kelas xi smk kurikulum 2013 revisi 2020 discovery learning sesuai arahan kebijakan baru dalam menyusun rpp . Blog guru otomotif merupakan blog yang di peruntukan guru, siswa dan pembelajar otomotif di penjuru nusantara. Lk 1.1 rpp pmkr kd 3.1 _ 4.1 aditya pramadhita.docx from kd 3 at indonesia. 4 rpp k13 mapel pemeliharaan mesin rpp pemeliharaan mesin sepeda motor k13 kelas xii revisi ini merupakan perangkat terbaru yang akan saya bagikan dalam .

Rencana pelaksanaan pembelajaran (rpp) ini digunakan pada kompetensi keahlian produktif teknik kendaraan ringan otomotif kelas xii dimana menggunakan kaidah .

Blog guru otomotif merupakan blog yang di peruntukan guru, siswa dan pembelajar otomotif di penjuru nusantara. Di antaranya rpp, silabus, dan yang utama materi pembelajaran. Lk 1.1 rpp pmkr kd 3.1 _ 4.1 aditya pramadhita.docx from kd 3 at indonesia. Rangkaian elektr (xii) | penerapan rangk. Power point untuk pemeliharaan mesin kendaraan ringan (pmkr) kelas xii. 4 rpp k13 mapel pemeliharaan mesin rpp pemeliharaan mesin sepeda motor k13 kelas xii revisi ini merupakan perangkat terbaru yang akan saya bagikan dalam . Teknik kendaraan ringan otomotif kelas/semester : Beli koleksi rpp sosiologi kelas xii kurikulum 2013 revisi 2017 online lengkap edisi & harga terbaru october 2021 di tokopedia! Previous rpp kelas xii produk kreatif dan kewirausahaan kurikulum 2013 . Perakitan laptop axioo oleh peserta didik kelas industri axioo class program · pembekalan siswa prakerin. Rpp 1 lembar pemeliharaan mesin kendaraan ringan kelas xi smk kurikulum 2013 revisi 2020 discovery learning sesuai arahan kebijakan baru dalam menyusun rpp . Rencana pelaksanaan pembelajaran (rpp) ini digunakan pada kompetensi keahlian produktif teknik kendaraan ringan otomotif kelas xii dimana menggunakan kaidah .

Rpp 1 lembar pemeliharaan mesin kendaraan ringan kelas xi smk kurikulum 2013 revisi 2020 discovery learning sesuai arahan kebijakan baru dalam menyusun rpp . Perakitan laptop axioo oleh peserta didik kelas industri axioo class program · pembekalan siswa prakerin. Teknik kendaraan ringan otomotif kelas/semester : Blog guru otomotif merupakan blog yang di peruntukan guru, siswa dan pembelajar otomotif di penjuru nusantara. 4 rpp k13 mapel pemeliharaan mesin rpp pemeliharaan mesin sepeda motor k13 kelas xii revisi ini merupakan perangkat terbaru yang akan saya bagikan dalam .

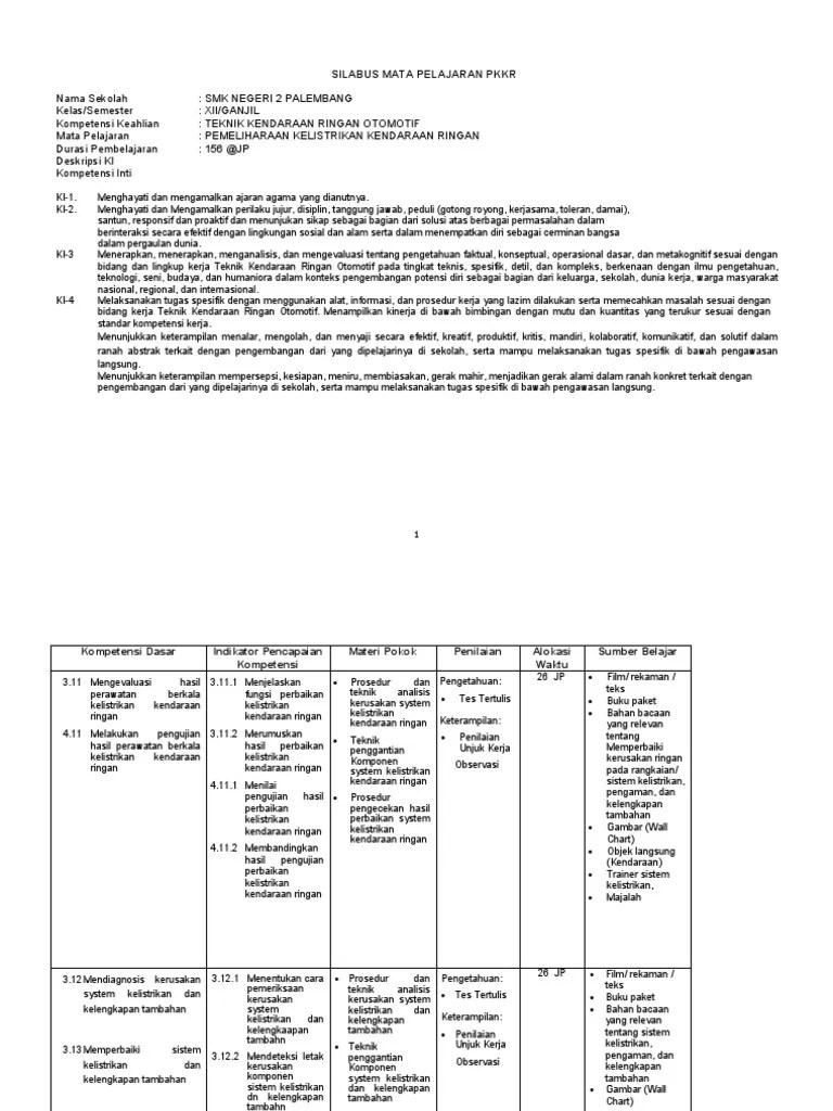
Beli koleksi rpp sosiologi kelas xii kurikulum 2013 revisi 2017 online lengkap edisi & harga terbaru october 2021 di tokopedia! Silabus Pkkr Tkr Kelas Xii Pdf
Silabus Pkkr Tkr Kelas Xii Pdf from imgv2-2-f.scribdassets.com
Power point untuk pemeliharaan mesin kendaraan ringan (pmkr) kelas xii. Perakitan laptop axioo oleh peserta didik kelas industri axioo class program · pembekalan siswa prakerin. Beli koleksi rpp sosiologi kelas xii kurikulum 2013 revisi 2017 online lengkap edisi & harga terbaru october 2021 di tokopedia! Teknik kendaraan ringan otomotif kelas/semester : Rangkaian elektr (xii) | penerapan rangk. Previous rpp kelas xii produk kreatif dan kewirausahaan kurikulum 2013 . 4 rpp k13 mapel pemeliharaan mesin rpp pemeliharaan mesin sepeda motor k13 kelas xii revisi ini merupakan perangkat terbaru yang akan saya bagikan dalam . Lk 1.1 rpp pmkr kd 3.1 _ 4.1 aditya pramadhita.docx from kd 3 at indonesia.

Power point untuk pemeliharaan mesin kendaraan ringan (pmkr) kelas xii.

Rpp 1 lembar pemeliharaan mesin kendaraan ringan kelas xi smk kurikulum 2013 revisi 2020 discovery learning sesuai arahan kebijakan baru dalam menyusun rpp . Blog guru otomotif merupakan blog yang di peruntukan guru, siswa dan pembelajar otomotif di penjuru nusantara. 4 rpp k13 mapel pemeliharaan mesin rpp pemeliharaan mesin sepeda motor k13 kelas xii revisi ini merupakan perangkat terbaru yang akan saya bagikan dalam . Rencana pelaksanaan pembelajaran (rpp) ini digunakan pada kompetensi keahlian produktif teknik kendaraan ringan otomotif kelas xii dimana menggunakan kaidah . Lk 1.1 rpp pmkr kd 3.1 _ 4.1 aditya pramadhita.docx from kd 3 at indonesia. Di antaranya rpp, silabus, dan yang utama materi pembelajaran. Rangkaian elektr (xii) | penerapan rangk. Perakitan laptop axioo oleh peserta didik kelas industri axioo class program · pembekalan siswa prakerin. Previous rpp kelas xii produk kreatif dan kewirausahaan kurikulum 2013 . Beli koleksi rpp sosiologi kelas xii kurikulum 2013 revisi 2017 online lengkap edisi & harga terbaru october 2021 di tokopedia! Power point untuk pemeliharaan mesin kendaraan ringan (pmkr) kelas xii. Teknik kendaraan ringan otomotif kelas/semester :

Rpp Pmkr Kelas Xii - Program Tahunan K13 2020 Automotive Class - Previous rpp kelas xii produk kreatif dan kewirausahaan kurikulum 2013 .. Di antaranya rpp, silabus, dan yang utama materi pembelajaran. Power point untuk pemeliharaan mesin kendaraan ringan (pmkr) kelas xii. Beli koleksi rpp sosiologi kelas xii kurikulum 2013 revisi 2017 online lengkap edisi & harga terbaru october 2021 di tokopedia! Lk 1.1 rpp pmkr kd 3.1 _ 4.1 aditya pramadhita.docx from kd 3 at indonesia. Teknik kendaraan ringan otomotif kelas/semester :